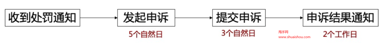
淘寶直播收到直播處罰通知后,如商家對處罰有疑議,可以在5個自然日內進行申訴,具體的發起時效以系統給您的申訴通知為準,申訴次數僅有一次,請您務必在規定的時間內提交真實齊全的憑證哦!
一、申訴操作流程:

特別說明:
1、未開店的主播和商家主播的申訴流程一致。
2、目前只支持 PC 端網頁版發起申訴,無線端版本即將上線。
二、操作步驟
1、如何查看處罰通知?
路徑一:【淘寶直播中控臺】-【直播體檢】-【違規處理】-【查看全部】可以看到您的處罰信息。
https://liveplatform.taobao.com/restful/index/live/physical#/violation?type=allVio
路徑二:【賣家中心】-【我是賣家】-【寶貝管理】-【體檢中心】-【違規處理】-【待處理】,可以看到您的處罰信息。
https://healthcenter.taobao.com/home/health_home.htm?spm=5144.13256915.area_treat.dall_cnt.5cff4a60xpiRrV#/violationList?tab=allVio
特別說明:
若超時未申訴,入口將全部關閉,無法申訴,請您及時進行申訴哦!
2、收到處罰后,多久進行申訴?
需要在5個自然日內點擊【發起申訴】按鈕,具體的發起時效以系統給您的申訴通知為準。
3、發起申訴和提交申訴有什么不一樣嗎?
發起申訴指的是您對該處罰有疑議,需要申訴。
提交申訴指的是您對該申訴提交相關的申訴資料。
4、提交申訴材料的時效是多久呢?
提交申訴時效(舉證期限)需要在72小時(3個自然日)內提交憑證,點擊【提交申訴】按鈕,具體申訴提交時效以系統通知為準哦。
提醒:申訴次數僅有一次,請務必在規定的時間內提交真實齊全的憑證哦!。
5、提交完憑證后,多久才能收到申訴結果?
目前,您提交申訴憑證后,小二會在48小時(2個工作日)內處理您的申訴,具體審核處理時效請以系統通知為準哦!
6、我想撤銷申訴,該如何操作?
在申訴過程中的申訴,目前是不支持撤銷。需要收到申訴結果通知后,申訴入口會自動關閉。
7、我想在提交申訴憑證后,再次補充申訴憑證,該如何操作?
在申訴過程中的申訴,不可以二次補充申訴憑證,申訴場景一旦選擇并提交,就無法返回重新選擇,請慎重選擇哦。
關于淘寶直播處罰申訴操作步驟甩手網就介紹到這里,商家被處罰有異議可以按照以上方法進行申述。
快消品貨源網提供超市貨源信息,超市采購進貨渠道。超市進貨網提供成都食品批發,日用百貨批發信息、微信淘寶網店超市采購信息和超市加盟信息.打造國內超市采購商與批發市場供應廠商搭建網上批發市場平臺,是全國批發市場行業中電子商務權威性網站。
本文來源: 淘寶直播處罰如何申訴?操作步驟介紹


